中国天眼揭示快速射电暴密近环境的动态演化
来源:国家天文台【字号:大 中 小】
快速射电暴(fast radio burst,FRB)是宇宙中偶发的射电爆发事件。在几毫秒时间内,它们所释放的射电波段的能量,相当于全世界当前总发电量累计几百亿年的总和,但目前快速射电暴的物理起源仍然不清楚,其中心机制尚属未知。中国天眼FAST快速射电暴优先和重大项目凯发k8研究团队利用凯发k8国家天文台运行的FAST,开展了对FRB 20201124A的深度观测,获得了迄今为止最大的快速射电暴偏振观测样本,首次探测到了距离快速射电暴中心仅1个天文单位(即太阳到地球的距离)的周边环境的磁场变化,对确定快速射电暴中心引擎机制迈出关键一步。该成果于北京时间9月21日在国际学术期刊《自然》上发表。
快速射电暴于2007年首次被报道发现,迄今已经发现了几百个。早先探测到的FRB主要来自银河系外,2020年探测到来自银河系磁星(一类磁场极强的中子星)的快速射电暴,表明有一些快速射电暴可以起源于磁星,但是那些宇宙学起源的快速射电暴,尤其是那些能够重复爆发的快速射电暴的起源依然未知。此外,FRB虽然有大量射电波段的观测资料,但长期以来仍缺乏对其核心区物理参数的直接观测资料。
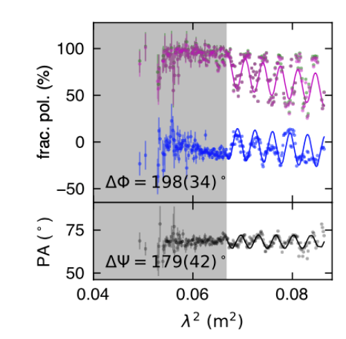
此次研究团队使用FAST对位于银河系外的FRB20201124A进行了长期监测,在54天共计82小时观测中测到了来自这个快速射电暴的1863个爆发脉冲信号,它的高事件率使其成为最活跃的几个重复暴之一。基于这一迄今为止最大的快速射电暴偏振观测样本,该研究团队取得了若干重要发现,均属于国际首次。该团队“拍摄”到了FRB法拉第旋转量(这可以帮助测量环境中的磁场强度)动态演化的“电影”,首次发现了法拉第旋转量的奇异演化行为,即在前36天里法拉第旋转出现了无规律的短时标演化,而在随后的18天里几乎不变;首次发现了FRB的猝灭现象,即FRB 20201124A从保持高事件率态到在72小时内突然熄灭;首次在FRB中探测到了与之前所有FRB都显著不同的高圆偏振度脉冲,其最高值达到了75%;首次发现频率依赖的偏振振荡现象。这些现象都说明了在这个FRB周围1个天文单位的环境是非常复杂并且在动态演化着的。通过偏振振荡现象,该团队对这个FRB周围1个天文单位的环境的磁场给出直接限制,达到了高斯量级以上。通过国际合作,该团队使用美国10米凯克光学望远镜(Keck)对这个FRB的宿主星系进行了深度观测,发现其宿主星系是约银河系尺度大小、富金属的棒旋星系,并且发现这个FRB所在区域恒星密度较低,处于旋臂之间,距离星系中心中等距离,表明该FRB并非起源于大质量恒星极端爆炸导致的超亮超新星或伽马射线暴后形成的年轻磁星。
目前,中国天眼FAST快速射电暴优先和重大项目科研团队近百人在紧密合作,期待找到决定快速射电暴核心物理过程和能源机制的直接观测证据,引导国际多波段联合观测,早日揭示快速射电暴的物理起源。

快速射电暴和宿主星系艺术想象图。世界最大单口径射电望远镜中国天眼(左下)和空间分辨率最高的单口径光学望远镜凯克望远镜(右上)承担本研究观测。绘图: 喻京川、傅海

法拉第旋转量的短时标演化。阴影区有FAST观测,但是没有探测到FRB爆发,说明FRB是突然熄灭的。

FRB 20201124A中探测到的线/圆偏振度和偏振位置角的振荡现象

团队通过Keck望远镜对FRB20201124A的宿主星系进行的光谱和高分辨率成像观测
(责任编辑:江澄)
© 1996 - 凯发k8 版权所有 联系我们 地址:北京市三里河路52号 邮编:100864
京ICP备05002857号-1
京公网安备110402500047号 网站标识码bm48000002